- 矩形微带天线设计原理
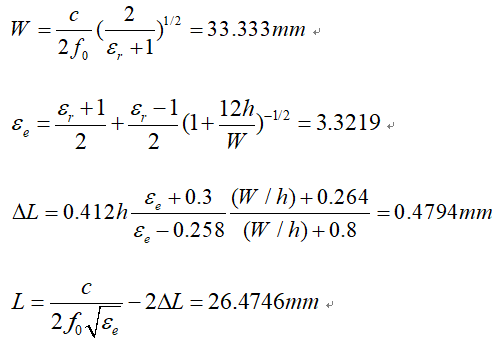
在工程上,微带天线采用传输模法设计,在PCB板上实现,如图1(a)所示:L是微带天线长边,电场正弦变化;W是其宽边,天线的辐射槽便是宽边的边沿; 是由边沿电容引起的边沿延伸。图1(b)给出其等效电路图,可看成源阻抗 通过长为 的传输线与负载阻抗 相连,其中 是辐射槽的阻抗; 是从输入端口位置的辐射槽向里看的输入阻抗,即不包含第一个辐射槽阻抗在内的输入阻抗。
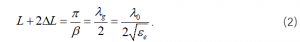
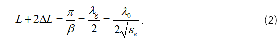
由具有任意负载阻抗的一段传输线的输入阻抗公式可得(微波工程51页):
其中, 为宽度W的微带线的特性阻抗, 为传播常数。谐振时,
把(2)带入(1)式得到: 。这也表明半波长线不改变负载阻抗。 、 由以下两个式子确定。
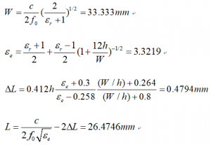
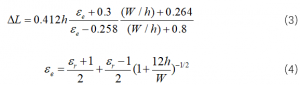
其中,W为微带天线的宽边;h为介质板的厚度; 为相对介电常数。W值不是很关键,通常按照下面的式子确定:
图 1. 传输模法
- 矩形微带天线ADS仿真设计。
要求:PCB基片 ,厚度h=1mm,导体厚度T=0.035mm,工作频率3GHz,输入阻抗50Ω。
2.1 几何参数计算
根据式(2)-(5)计算天线几何参数。
2.2 馈线设计、ADS LineCalc工具使用
(1)启动LineCalc,如图2所示。
图2 LineCalc 界面
(2)Substrate Parameters 栏中,设置PCB参数;Component Parameters 栏中,设置频率;Electrical 栏中设置阻抗和电长度。具体设置如下:
相对介电常数Er: 3.5
介质厚度H: 1mm
导体厚度T:0.035mm
工作频率Freq:3GHz
特征阻抗Z0=50Ω
电长度E_Eff:180°
其他为默认值。
(3)设置完成后,将Physical 栏中W和L的单位改成mm,然后点击Synthesize 栏下的 按钮,在Physical 栏中得到馈线的宽度为2.219360mm,长度为30.162200mm。然而实际设计中,由于需要匹配设计,考虑到长度影响天线的辐射特性,选取馈线长度为5mm。
2.3 版图仿真。
(1)ADS中创建一个工程,命名为antenna_wrk。
(2)单击
(3)单击Options→Preferences…→Units/Scale,设置Length:mm。
图3 Layout 仿真界面
(5)单击 ,可看到版图的所有设计,新建Substrate如图4所示。
图4 EM和新建Substrate。
(6)点击open 进行Substrate设置,如图5所示。
图5. 进行Substrate 设置。
(7)如图6进行扫频设置。
图6 扫频设置
(8)单击Simulate或者 按钮,开始仿真,添加S11圆图,结果如图7所示。在3GHz处,输入阻抗为Z0*(0.337-j0.812)=16.85-j40.6。
图7. 初步仿真结果
2.4 匹配优化设计
(1)根据电路知识,天线在3GHz处等效为一个电阻和一个电容的串联,电阻R=16.85Ω,电容C=1.3pF。匹配原理是:在天线信号输入端串联一根50Ω的传输线,在并联一根50Ω的传输线。
(2)单击 按钮,新建原理图cell_1。在Tlines-Microstrip、Lumped-Components、Simulation-S_param中添加所需控件。如图8所示(图中都为设置好的控件,并非初始状态)。
图8. 天线优化匹配电路图。
(3)TL1和TL2的L为优化设计的变量,优化设置方式如图9所示。
图9. 优化变量设置
(4)目标Goal和Optim设置设置如图10所示。
图10. Goal和Optim设置界面图
(5)单击优化按钮 ,得到优化界面如图11。TL1.L=10.9049mm,TL2.L=10.2208mm达到优化目标。
图11 优化界面
(6)达到优化目标后,ADS2016自动弹出数据显示窗口,添加S11,如图12所示
图12 优化仿真曲线
2.4 版图再次仿真
(1)将优化后的TL1和TL2添加到版图中去,如图13所示。
图13. 优化匹配后的layout图
(2)仿真结束后得到结果如图14所示。从结果看,出现了0.05GHz的频率偏移。
图14. 优化仿真后的结果
- HFSS仿真设计
(1)打开HFSS,在HFSS里添加设计变量如下图15所以。W为贴片天线的宽度,l为贴片天线的长度,w50为50欧姆线宽,l1为串联微带线的长度,l2为并联微带线的长度,lfeed为馈线的长度。
图15. HFSS设计变量图表。
(2)在模型窗口画好模型,设计仿真频率2-4GHz,最后得到仿真结果如图16所示。从结果来看仍有有0.02GHZ的频率偏移,为了达到与设计的一致,我们进行优化设计。
图16 HFFS 模型以及仿真结果
(3)由于贴片天线的宽度W对结果没有影响,只需要对l、l1、l2三个量进行优化设计。如图17所示。由于频率我们想要频率向左移,因此只需要优化长度往变大的方向,l1和l2的值也仅仅需要在一个很小值的范围浮动。
图17 优化变量设计
(4)优化目标设计如图18所示,最后优化结果及仿真结果如图19、20所示,从结果来看已经达到我们的设计目标。
图18. 优化设计目标
图19. 优化结果
图20. 最终仿真结果
-300x85.png)
-300x158.png)


















