本文的作者凤舞天是《电子工程专辑》的老博主,希望用自己的所学成就自己的事业,更希望惠及他人。分享了很多自己创业和管理的经验。《看得懂的电磁场理论》这篇博文,自发表后至有
109名读者表示喜欢此文,阅读6844,评论56,深受读者喜爱。博主也与网友在评论中互动,以下是博文内容及博主与网友的评论:
从初中甚至更小,我们就接触到了电路,把电压比作水源的高度,电流比做水流,表征电压与电流关系的电阻就是水管的大小。从初中到大学毕业工作(排除专门学过电磁场,并且深入理解了的),我们一直这么理解的。因为电路、电压、电流、电阻的概念就是对照现实中看得到的水路、水压、水流和水阻而来的,非常直观、形象,并且长期以来感觉没什么问题,所以非常的深入人心。
电路理论的困境
电路理论首先碰到的问题是两根紧挨着的信号线,会相互干扰,这个引入了磁场理论比较好的解释了:存在交变的电流,就激励出交变的磁场变化,部分磁力线相互围绕了傍边的信号线,根据安培定律,互感相互影响,这个采用磁场理论可以说完美的解释了。当然靠近的两根信号线不仅仅只有磁场的影响,电场也有影响,这个取决于电压与电流的比例关系。
电路理论碰到的第二个问题,当一个回路的导线无规则,比较乱,信号源信号无法完美的传递到终端上,高频失真,信号完整性受损,限制了高速信号传输。而这个,电路理论解释不了,磁场理论也解释不了,需要第三种理论。
电路理论碰到第三个问题,无法解释天线?怎么断路不相连的一段导线,可以辐射能量出去,而电路理论必须要有回路的,完全不可理解。
电路理论无法解释第四个问题:传输线阻抗,一根同轴线,标称50欧姆,这个是表征什么物理量?这个50欧姆在哪儿呢?
信号的载体是能量
硬件中的信号的传递,基于电压或者电流表征的,但无论电压还是电流,都是基于能量这一实体。
在现实中,能量的传递,都是从A到B点,而在微观世界中,能量的传递只有两种,那就是基于粒子传递,如同扔石头,或者基于波的传递,如同声音或者水波,只有这两种。但是,电路是基于一个回路的,大家日常想着电流从电源的正极留出到电源的负极,或者电子从负极流出到达正极,这个是电路理论经常提到的,深入人心,但这个明显存在一个问题,就是这个回路里面,到底那个负载先上电呢?是靠近正极的A,还是靠近负极的C?
我们知道,电子有质量,在金属中移动的速度很慢,远远小于光速,但电的建立是光的速度,所以电路建立的基础,显然不是以电子的移动作为初始条件,能跟光速比的,只有电磁场,它是波,可以传递能量,也满足能量传递条件。
场结构模型
既然电路的理论基础是电磁场,能量的传递必须从信号源点到终端,不可能是回路形式,那么如下图,红色细线是电场,从信号源扩展到负载B,蓝色细圆圈是磁场,也从信号源扩展到负载B,理论上讲,电路的顺序是A、C、B,这样的顺序。
我们简化上图为传输线类型模式,可以清晰的看到,红电场和兰色磁场组成的电磁场从信号源到负载电阻。在传播过程中,电场和磁场都是存在于导线外面的,而这些电场和磁场都是能量场,所以要明确的是,能量都是在导线外面的,而不存在于导线内部,这个很关键,
根据能量存在于导线外面的特点,我们加以利用,就得到不同的东西。比如为了实现传输,就需要降低损耗,降低对外的辐射而设计了同轴线,如下图1(截面图),外铜皮与内心铜线之间充填塑料,形成一个腔体,电场和磁场就分布在里面,电场是两极径向的红线,磁场是围绕铜芯的切向兰线。同轴线外没有任何的电场和磁场,所以对外没有辐射,损耗最小,最适合电磁场通讯。
PCB上的信号连接,无法用同轴线,于是设计了一种类似同轴线的方案,叫微带线,如下图2。图中可知电场大部分被约束在信号线与参考地之间,但磁场有在外面,所以微带线适合短距离传输,往往只适合于PCB。
若为了发射信号,如天线,就尽可能的把电场和磁场暴露在空间中,那么就需要把两极分开,如下图3.
需要注意的是,一块悬空的金属,因为内阻为0,电磁场无法穿过而形成类似镜子的反射效应,卫星天线采用一块独立的类似锅盖形状的金属板作为卫星信号的反射面,利用凹透镜原理。
3.5.3
传输线阻抗
电磁场是波,那么就必须要满足电场能量与磁场能量相等,只有两个能量相等,才能相生相克,互为阴阳,比如男女,繁衍后代,生生不息。那么电场能量与磁场能量相等,相互转换才能把自己传递下去。注意,这儿讲的相等,是同一时间的能量要相等,这个跟LC振荡完全不同,振荡虽然也是电场与磁场转换,但不是同时,而是这一刻电场转化为磁场,下一刻,磁场转换为电场,所以总能量不变,在两者之间转换,无法传递下去。而对电磁场波来说,是同一时刻,相互转换,电转换为磁,磁转换为电,从源端获取能量传递到终端去。
3.5.3传输线微分模型
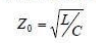
取一小段传输线来,红线中间部分,我们用集中元器件来描述,导线的长度,就是电感L,导线之间就是电容C。电感对应的是磁场,电容对应的是电场,这两个能量要相等。
1/2
* C * U * U = 1/2 * L * I * I
整理可得:Z
= U / I = SQR(L/C),SQR 为开平方根号。
传输线阻抗的物理意义:在电磁场传输的过程中,电场与磁场能量相等,那么传输线两端的电压与电流必须满足这个比例关系。
3.5.4
阻抗匹配
通过以上很容易明白了,不同的传输线,它的阻抗是不同的,电磁场是一个能量场,若这个能量不能被后级完全吸收,必然会反射回来,因为能量是无法消失的。所以要求终端的电阻与传输线阻抗一样,这样传递过来的能量可以被完全吸收而不引起反射导致信号模糊。普通线之所以无法传递高频,就是因为不停的各种反射,导致信号模糊而失真。一般来说,要求信号源与终端都要跟传输线阻抗匹配,这样哪怕终端反射回来信号,也可以被源端的电阻吸收。
当有些传输线特别短,远远小于信号波长的时候,可以不需要太考虑阻抗,因为传输线太短,哪怕多次反射折叠,也不会使信号恶劣太多,所以不需要太考虑。我们普通的电路回路,在低频下,远远小于信号波长,哪怕多次折叠,也对信号没有什么影响,这就是普通电路不用太考虑电磁场的原因,而电路理论可以认为是电磁场理论在低频下的一个近似模型。
当多路不同阻抗的传输线或者终端连接在一起的时候,就需要考虑它们之间的阻抗匹配问题,需要引入电容电感实现阻抗匹配,这个就是大家经常听到的射频匹配问题。射频工作人员很大的精力都在调节信号的匹配。
需要引起重视的是,理论上讲,传输线阻抗跟频率无关的,因为传输线微分等效电容电感的阻抗跟频率是同步变化的,抵消掉了,但是引入了电容电感来调节匹配,这些电容电感对不同的频率的阻抗不同,所以会有一些频响特性,不再是与信号的频率无关了。所以匹配调节的时候,一般要调节的在想要的频带上。
3.5.5
微带线
电磁场的长距离传输,一般用同轴线,因为同轴线能量不能辐射到外界,但对于PCB的信号线设计,无法用同轴线,所以基于电磁场理论,设计了微带线。
3.5.5.0微带线截面图模型
如上图右边的模型图,上面是宽度为W的信号线,PCB的覆铜一般是0.018毫米。下面是参考地,参考地要尽可能大于三倍的W宽度。信号线与地之间的高度是h,一般都是PCB的标准材料FR4,需要注意的是,不同厂家的FR4介电常数基本差不多,严格的需要厂家提供数据,并且还跟频率有关,一般1GHz以内的,取值4.2。
微带线阻抗一般不需要用公式计算,网上有不少软件工具,只需要把这些参数代入即可。常用的知名专业软件为polar
si8000,搜索“微带线阻抗”,网上有很多免费的。
3.5.5.1微带线计算界面
在高速设计的时候,尤其是长距离设计,尽可能的按微带线的概念设计,越靠近理想,信号完整性越好。
来自网友
质疑声:概念不是一般的乱
@maojoujou:
事实上,电源的电场存在早于开关的接触。接上导线的结果是原来的电磁场发生变化沿导线传递。
导线的重要作用是给场的限制和导向,所以也叫波导。
maojoujou
我们知道,电子有质量,在金属中移动的速度很慢,远远小于光速,但电的建立是光的速度,所以电路建立的基础,显然不是以电子的移动作为初始条件,能跟光速比的,只有电磁场,它是波,可以传递能量,也满足能量传递条件。
————这句话指的斟酌。 我不知道电场是不是A-B,C-B这样同时传播。
xiangshac@163.com
电磁场是门复杂的学科,不要老想着走捷径,通过几千字,几张图就理解。几句简单的话只能描述一小部分内容,如管中窥豹,只见一斑。有时理论没说完整,很容易误导他人。这都是给非技术人员看的。如果真想学习,买点书回来好好看,书上有很多公式,基础差买本电路数学慢慢研究,会有收获的。理论以书本为准,一般是不会错的。网上这些技术资料,写资料的人的热情是值得赞赏,但里面内容不一定都是对的。另外,不要把高速电路和射频电路搞混了,射频电路通常是测量信号功率,而高速电路的测量的是信号电压。看看你用的仪器单位就知道了。
加拿大的游客
概念不是一般的乱。光就是电磁波;3W原则在十几年前就更正为3h原则了,去看看IEEE的paper。除了说对了电子在金属内移动速度慢以外,其它的都是乱说。而且移动速度慢这一点应该是从Eric
Bogantin 的 signal integrity:simplified
这本书看来的。所有SI的书里,只有Eric明白说了这一点。有这个理解的人说不出其他那些乌七八糟的东西来。电磁场是比较难懂,不懂就踏实的去学。何必在这充数,毁人不倦呢。学问和手机不一样,山寨不得。
EDC_may304
比喻是对的,理解是错的。水管不能处处为空。你能从电线里面排除电子吗?如果将水在封闭管路里来回流动,水管里面即使有一个橡皮隔膜也能传递能量。
博主回应部分细节不严谨
@凤舞天:
这段时间都在写msOS的文档,电磁场是作为给嵌入式人员入门写入的,让他们在软件之外,了解一下硬件,尤其是电磁场,给他们很迷惑的感觉。
这部分先出来一个初稿,今后细化,写书太累了,一天下不了2、3页,还有一大堆项目等着做,静不下心来。
大宝小莉啊
评论:
有点小建议:可以考虑在引用“同轴说明电磁场分布”前,先把电路的集总和分布说一下;对于分布参数下的“同轴”的所有图例中的直线改成环线扣环线的电磁场分布,这样可能会更好一些!
@凤舞天:
电磁场部分,我很早以前就想写,但都无法下笔起手,主要是起手很难写,这部分内容是有一天在msOS群内聊天的时候,即兴讲解的,感觉不错,他们都能听懂,整理了一下写入文档中的,后续会进一步展开讲解。
大宝小莉啊
整体思路的渐进引导是不错的,但部分细节不怎么严谨喽!
凤舞天
呵呵,画图太费时间了,这个图是手画的,表达了意思即可。详细内容见于顶楼的msOS文档,最近这段时间都在写msOS文档,把我所学及工作中领悟的都写入msOS文档中,形成一个体系。感谢大家支持。
炮灰向前冲
这个的描述算是比较限浅易懂了,可惜我的理解力还是需要提高一下才行!
GOODWAY
比较通俗易懂的解释了电磁场的知识,给初学者有比较好的感性认识。
万啥EDN
看了下评论,有人提到3H原则,是3W原则的延生,解释一下,就是说即使信号线间虽然间距达到了3W,但是如果对于某一信号线来说(特指高频)。例如多层板,在第一层步的信号,地平面在第四层,回流路径与信号间距H>W。还是会产生串扰。仅供参考,
台湾省的游客
记得以前学到的是电场存在于导线之中,所以沿着导线的方向电势降低。求解答。
强过超人
你真神,用普通物理就解决了量子固体理论都没搞定的问题。
凤舞天
感谢大家的支持,关于这篇文章,后续会再深入分析,比如LC振荡跟电磁场到底不同于哪儿,LC为什么是磁场与电场交互,而电磁场却是同时最大同时最小的原因,这部分将在三角函数正交坐标系的概念中讲解。或者到时候,把这部分再整合进去。
本文来源于《电子工程专辑》,转自网优雇佣军








